在《IGBT以及MOSFET的驅動參數的計算方法》該應用指南中由 Eq.6 得到了門極電流 i(t)i(t) 不振蕩的阻尼條件 Eq.7,并以此得出了電流波形不振蕩的最小門極電阻的計算公式。
然而,該應用指南并未講述如何推導出 Eq.7,故寫此文列出推導過程,如下:
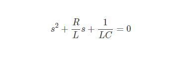
由 Eq.6 可知串聯 RLC 電路的特征方程為:

特征根為:

奈培頻率為:

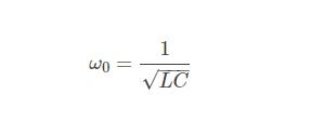
諧振頻率為:

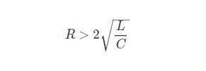
為了保證門極電流 i(t) 不振蕩,則電流響應應為過阻尼,既有:

綜上所述,可得:

至此,Eq.7 得證。
〈烜芯微/XXW〉專業制造二極管,三極管,MOS管,橋堆等,20年,工廠直銷省20%,上萬家電路電器生產企業選用,專業的工程師幫您穩定好每一批產品,如果您有遇到什么需要幫助解決的,可以直接聯系下方的聯系號碼或加QQ/微信,由我們的銷售經理給您精準的報價以及產品介紹
聯系號碼:18923864027(同微信)
QQ:709211280

