計算機中的電路是數字電路,其中采用的是基極偏置以及由基極偏置構成的電路。但對于放大器,則需要電路的靜態工作點 Q 不隨電流增益的變化而變化。

圖1所示一個發射極偏置電路。由圖 1 可見,電阻從基極電路移到了發射極電路。這個變化改變了整個電路的特性,使得該電路的 Q 點十分穩定。電流增益從 50 變到 150 的過程中,Q 點在負載線上的位置幾乎不變。
基本概念
將基極電源電壓直接加在基極,基極和地之間的電壓為 VBB,發射極不再接地。發射極和地之間的電壓為:


如果 VBB 大于 20 倍的 VBE,則理想化近似足夠準確;如果 VBB 小于 20 倍的 VBE,應該采用二階近似,否則誤差會大于 5%。
確定 Q 點


析圖 2 所示的發射極偏置電路。由于基極電源電壓只有 5V,因此需要采用二階近似。基極和地之間的電壓為 5V,將基極到地之間的電壓稱為基極電壓,記為 VB。基極和發射極兩端的壓降為 0.7V,將該電壓稱為基極-發射極電壓,記為 VBE。
將發射極和地之間的電壓稱為發射極電壓,它等于:


該電壓加在發射極電阻上,可以用歐姆定律來計算發射極電流:


這也意味著集電極電流近似為 1.95mA。當這個集電極電流流過集電極電阻時,產生 1.95V 的壓降。從集電極電源電壓中減去這個壓降,得到集電極和地之間的電壓:


將集電極到地之間的電壓稱為集電極電壓。
這個電壓是故障診斷人員在檢測晶體管電路時需要測量的。測量時將電壓表的一端接到集電極,另一端接地。如果要得到 VCE,需要從集電極電壓中減去發射極電壓,得到:


所以,圖 2 中的發射極偏置電路的 Q 點坐標為:


VCE 可用來繪制負載線,并可在查閱晶體管的數據手冊時使用。其計算公式為:


電路對電流增益變化不敏感
發射極偏置的優勢在于,發射極偏置電路的 Q 點對電流增益的變化不敏感。電路分析過程便可證明。以下是前面用過的計算步驟:
計算發射極電壓;
計算發射極電流;
計算集電極電壓;
集電極電壓減去發射極電壓得到 VCE。
在上述計算過程中,沒有用到電流增益。由于不需要用電流增益來計算發射極電流和集電極電流等參數,那么電流增益的精確值就不再重要了。
將電阻從基極移到發射極后,迫使基極到地的電壓等于基極電源電壓。在基極偏置電路中,幾乎所有的基極電源電壓都加在基極電阻上,從而產生固定基極電流,而在發射極偏置電路中,電源電壓減去 0.7V 后的電壓全部加在發射極電阻上,產生的是固定的發射極電流。
電流增益的微小影響
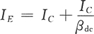
電流增益對集電極電流有微小的影響。在所有工作條件下,三個電流的關系都滿足:


也可以寫成:


由該方程求解集電極電流,得:


IE 前面相乘的系數叫作修正系數,它表明 IC 與 IE 是不同的。當電流增益為 100 時,修正系數為:


也就是說集電極電流為發射極電流的 99%。所以,如果忽略修正系數,認為集電極電流與發射極電流相等,導致的誤差只有 1%。
烜芯微專業制造二極管,三極管,MOS管,橋堆等20年,工廠直銷省20%,1500家電路電器生產企業選用,專業的工程師幫您穩定好每一批產品,如果您有遇到什么需要幫助解決的,可以點擊右邊的工程師,或者點擊銷售經理給您精準的報價以及產品介紹
烜芯微專業制造二極管,三極管,MOS管,橋堆等20年,工廠直銷省20%,1500家電路電器生產企業選用,專業的工程師幫您穩定好每一批產品,如果您有遇到什么需要幫助解決的,可以點擊右邊的工程師,或者點擊銷售經理給您精準的報價以及產品介紹

